尊敬的MEXC用户:
MEXC抹茶“CENNZ擂台争霸赛,参与赢20万CENNZ”活动已结束。将奖励名单公布如下:
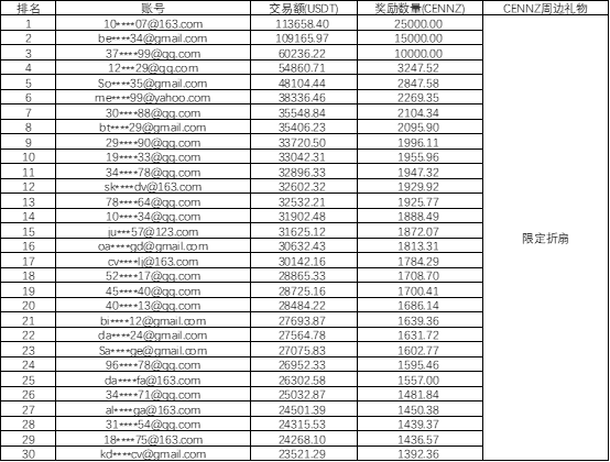
【擂台争霸赛】

【幸运锦鲤奖】

恭喜以上获得本次活动奖励的用户,其他奖项由于获奖人数较多公告未展示,奖励将于5日内发放,请用户前往现货账户中查看。
感谢用户对本次活动的支持,如有疑问请联系在线客服。
*请获得限定折扇奖励的用户,5日内填写表单领取奖励,奖励将由CENNZ项目方安排邮寄。
点击填写表单:http://MEXCfutures.mikecrm.com/82uCbCx
活动详见:MEXC抹茶关于上线“CENNZ擂台争霸赛,参与赢20万CENNZ”活动的公告
https://support.mexc.com/hc/zh-cn/articles/360048460332
交易数字资产,上抹茶!
邀请朋友注册最高可享50%返佣,邀请注册链接:https://www.mexc.ai/invite/rebate
【进入MEXC社群】
中文电报: https://t.me/MEXCtelegram
MEXC将持续不断地为您提供更优秀的产品和更优质的服务!
MEXC团队
2020年9月8日
