This section adds kinematic priors to trajectory forecasting, deriving Gaussian distributions from velocity, acceleration, speed‑heading, and steering.This section adds kinematic priors to trajectory forecasting, deriving Gaussian distributions from velocity, acceleration, speed‑heading, and steering.

From vx, vy to δ and a: The Math Behind Smarter Self‑Driving Predictions

Abstract and I. Introduction

II. Related Work

III. Kinematics of Traffic Agents

IV. Methodology

V. Results

VI. Discussion and Conclusion, and References

VII. Appendix

III. KINEMATICS OF TRAFFIC AGENTS

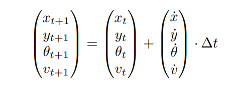
Our method borrows concepts from simulation and kinematics. In a traffic simulation, each vehicle holds some sort of state consisting of position along the global x-axis x, position along the global y-axis y, velocity v, and heading θ. This state is propagated forward in time via a kinematic model describing the constraints of movement with respect to some input acceleration a and steering angle δ actions. The Bicycle Model, both classical and popularly utilized in path planning for robots, describes the kinematic dynamics of a wheeled agent given its length L:

\

\ We refer to this model throughout this paper to derive the relationship between predicted distributions of kinematic variables and the corresponding distributions of positions x and y for the objective trajectory prediction task.

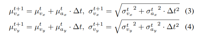
\ We use Euler time integration in forward simulation of the kinematic model to obtain future positions. As we will show later, explicit Euler time integration is simple for handling Gaussian distributions, despite being less precise than higher-order methods like Runge-Kutta. Furthermore, higher-order methods are also difficult to implement in a parallelizable and differentiable fashion, which would add additional overhead as a tradeoff for better accuracy. An agent’s state is propagated forward from timestep t to t + 1 with the following, given a timestep interval ∆t:

\

\

IV. METHODOLOGY

A. Probabilistic Trajectory Forecasting

Trajectory forecasting is a popular task in autonomous systems where the objective is to predict the future trajectory of multiple agents for T total future timesteps, given a short trajectory history. Recently, state-of-the-art methods [29], [30], [31], [7] utilize Gaussian Mixture Models (GMMs) to model the distribution of potential future trajectories, given some intention waypoint or destination of the agent and various extracted agent or map features. Each method utilizes GMMs slightly differently, however, all methods use GMMs to model the distribution of future agent trajectories. We apply a kinematic prior to the GMM head directly—thus, our method is agnostic to the design of the learning framework. Instead of predicting a future trajectory deterministically, current works instead predict a mixture of Gaussian components (µx, µy, σx, σy, ρ) describing the mean µ and standard deviation σ of x and y, in addition to a correlation coefficient ρ and Gaussian component probability p. The standard deviation terms, σx and σy, along with correlation coefficient ρ, parameterize the covariance matrix of a Gaussian centered around µx and µy.

\ Ultimately, the prediction objective is, for each timestep, to maximize the log-likelihood of the ground truth trajectory waypoint (x, y) belonging to the position distribution outputted by the GMM:

\ \

\ \ This formulation assumes that distributions between timesteps are conditionally independent, similarly to Multipath [29] and its derivatives. Alternatively, it’s possible to implement predictions with GMMs in an autoregressive manner, where trajectory distributions are dependent on the position of the previous timestep. The drawback of this is the additional overhead of computing conditional distributions with recurrent architectures, rather than jointly predicting for all timesteps at once.

\

B. Kinematic Priors in Gaussian-Mixture Model Predictions

The high-level idea for kinematic priors is simple: instead of predicting the distribution of positions at each timestep, we can instead predict the distribution of first-order or second-order kinematic terms and then use time integration to derive the subsequent position distributions.

\ The intuition for enforcing kinematic priors comes from the idea that even conditionally independent predicted trajectory waypoints have inherent relationships with each other depending on the state of the agent, even if the neural network does not model it. By propagating these relationships across the time horizon, we focus optimization of the network in the space of kinematically feasible trajectories. We consider four different formulations: 1) with velocity components vx and vy, 2) with acceleration components ax and ay, 3) with speed s = ∥v∥ and heading θ, and finally, 4) with acceleration a (second order of speed) and steering angle δ.

\

  1. Formulation 1: Velocity Components: The velocity component formulation is the simplest kinematic formulation, where the GMMs predict the distribution of velocity components vx and vy for each timestep t.

\ \

\ \ Also, for the first prediction timestep, we consider the starting trajectory position to represent a distribution with standard deviation equal to zero.

\ This Gaussian form is also intuitive as the sum of two Gaussian random variables is also Gaussian. Since this formulation is not dependent on any term outside of timestep t, distributions for all T timesteps can be computed with vectorized cumulative sum operations. We derive the same distributions in the following sections in a similar fashion with different kinematic parameterizations.

\ \

\ \ \ Fig. 4: Average Displacement Error (ADE) across training across each method and formulation in the small dataset setting. Learning with stochastic kinematic priors aids with faster learning. Compared to the baseline (blue), all models employing kinematic priors converge much more quickly. Formulation 4 (brown) converges most quickly. While DKM also converges very quickly, we point out in Table II that the final performance is much poorer.

\ \ Following similar steps to Formulation 1, we obtain the parameterized distributions of vx and vy:

\ \

\ \ When computed for all timesteps, we now have T total distributions representing vx and vy, which then degenerates to Formulation 1 in Equation 1.

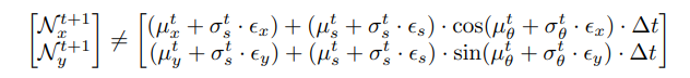
\ \

\ \ When representing this formulation in terms of Gaussian parameters, we point out that the functions cos(·) and sin(·) applied on Gaussian random variables do not produce Gaussians:

\ \

\ \ To amend this, we instead replace cos(·) and sin(·) with linear approximations T(·) evaluated at µθ.

\ \

\ \ We now derive the formulation of the distribution of positions with the linear approximations instead:

\ \

\ \ The full expansion of these terms is described in Section VII-A of the appendix, which can be found on our project page under the title.

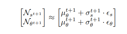
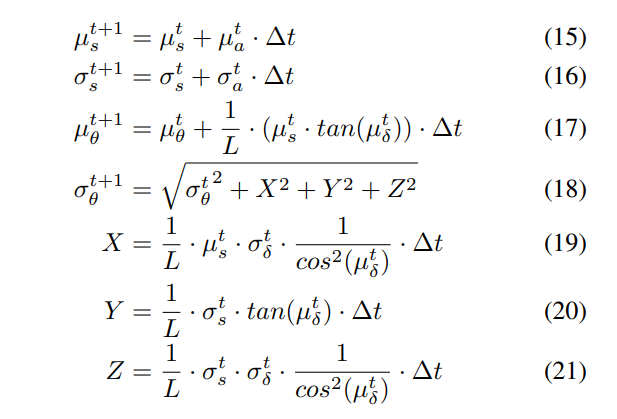
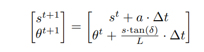
\ 4) Formulation 4: Acceleration and Steering: Lastly, we derive a second-order kinematic formulation based on the bicycle model: steering δ and acceleration a. This formulation is the second-order version of the velocity-heading formulation. Here, we assume acceleration a to be scalar and directionless, in contrast to Formulation 2, where we consider acceleration to be a vector with lateral and longitudinal components. Similarly to Formulation 2, we also use the linear approximation of tan(·) in order to derive approximated position distributions.

\ Following the Bicycle Model, the update for speed and heading at each timestep is:

\ \

\ \ Where L is the length of the agent. When we represent this process probabilistically as random Gaussian variables, we solve for the distributions of first-order variables, speed (s) and heading (θ):

\ \

\ \ where

\ \

\ \ With the computed distributions of speed and heading, we can then use the analytical definitions from Formulation 3, in Equation 5, to derive the distribution of positions in terms of x and y.

\

C. Error Bound of Linear Approximation.

The linear approximations used to derive the variance in predicted trajectories come with some error relative to the actual variance computed from transformations on predicted Gaussian variables, which may not necessarily be easily computable or known. However, we can bound the error of this linear approximation thanks to the alternating property of the sine and cosine Taylor expansions.

\ We analytically derive the error bound for the linear approximation for f(x) = cos(x) and f(x) = sin(x) functions at µθ. Since the Taylor series expansion of both functions are alternating, the error is bounded by the term representing the second order derivative:

\ \

\ \ \ TABLE I: Performance comparison for vehicles on each kinematic formulation versus SOTA baseline [7] and DKM [1] on Waymo Motion Dataset, Marginal Trajectory Prediction. In our experiments, we downscale the backbone model size from 65M parameters to 2M parameters. From the results, we find that Formulation 3 (speed and heading) provides the greatest and most consistent boost in performance across most metrics over the baseline that does not include kinematic priors.

\

:::info Authors:

(1) Laura Zheng, Department of Computer Science, University of Maryland at College Park, MD, U.S.A (lyzheng@umd.edu);

(2) Sanghyun Son, Department of Computer Science, University of Maryland at College Park, MD, U.S.A (shh1295@umd.edu);

(3) Jing Liang, Department of Computer Science, University of Maryland at College Park, MD, U.S.A (jingl@umd.edu);

(4) Xijun Wang, Department of Computer Science, University of Maryland at College Park, MD, U.S.A (xijun@umd.edu);

(5) Brian Clipp, Kitware (brian.clipp@kitware.com);

(6) Ming C. Lin, Department of Computer Science, University of Maryland at College Park, MD, U.S.A (lin@umd.edu).

:::


:::info This paper is available on arxiv under ATTRIBUTION-NONCOMMERCIAL-NODERIVS 4.0 INTERNATIONAL license.

:::

\

Market Opportunity
MATH Logo
MATH Price(MATH)
$0.04055
$0.04055$0.04055
+7.53%
USD
MATH (MATH) Live Price Chart
Disclaimer: The articles reposted on this site are sourced from public platforms and are provided for informational purposes only. They do not necessarily reflect the views of MEXC. All rights remain with the original authors. If you believe any content infringes on third-party rights, please contact service@support.mexc.com for removal. MEXC makes no guarantees regarding the accuracy, completeness, or timeliness of the content and is not responsible for any actions taken based on the information provided. The content does not constitute financial, legal, or other professional advice, nor should it be considered a recommendation or endorsement by MEXC.

You May Also Like

Charcoal Golf Brings Grit And Color To Bethpage Ahead Of The Ryder Cup

Charcoal Golf Brings Grit And Color To Bethpage Ahead Of The Ryder Cup

The post Charcoal Golf Brings Grit And Color To Bethpage Ahead Of The Ryder Cup appeared on BitcoinEthereumNews.com. Charcoal Golf brings an urban contemporary style to golf illustration at Bethpage Black Golf Course brining the 18th hole to life in new ways. Charcoal Golf The most unique Bethpage Black Golf Course memorabilia leading into the Ryder Cup won’t be found in golf shops or merchandise tents — it comes from Charcoal Golf. The rugged and brash illustrations of top-down hole designs come from Charcoal Golf’s artist and illustrator, Mark Rivard. His artwork bridges golf’s traditional, prim-and-proper image with a street- and urban-inspired aesthetic. Rivard’s renditions of famous golf holes are clearly recognizable, yet possess a gritty, almost unfinished quality, with geometric patterns intermingling with bold colors and blurred lines. “As I started to investigate golf art, I saw a lot of the same. There weren’t many painters, and the ones that did exist didn’t push the envelope toward the newer vibe of golf. I wanted to paint something more urban contemporary,” Rivard said. His Bethpage Black piece brings the 18th hole to life. Tillinghast’s sprawling fairway bunkers on the right and left dominate the center of the canvas, while the large putting surface at the top balances with shaded tee boxes, geometric shapes, and the iconic Bethpage Black sign at the bottom. Predominantly displayed on first tee of Bethpage Black, “The Black Course is an extremely difficult course which we recommend only for highly skilled golfers.” Charcoal Golf This isn’t Rivard’s first golf illustration. He has previously brought courses like Landmand, Sweetens Cove, Sand Hills, Sutton Bay, The Club at Golden Valley, and Perry Maxwell’s holes at Prairie Dunes to life on canvas. Rivard, once an adventure sports junkie with a passion for skiing, turned to art after an injury in his 20s left him immobile. He began creating rideable skateboard artwork and soon caught the attention of…
Share
BitcoinEthereumNews2025/09/20 07:52
The U.S. Senate Banking Committee is about to review a 278-page bill on the structure of the crypto market.

The U.S. Senate Banking Committee is about to review a 278-page bill on the structure of the crypto market.

PANews reported on January 14th that, according to Crypto In America, the U.S. Senate Banking Committee is about to review a 278-page bill on the structure of the
Share
PANews2026/01/14 21:29
Pibble AI platform: Revolutionary AION Completes POSCO International POC with Stunning Success

Pibble AI platform: Revolutionary AION Completes POSCO International POC with Stunning Success

BitcoinWorld Pibble AI platform: Revolutionary AION Completes POSCO International POC with Stunning Success The world of trade is constantly evolving, with businesses seeking innovative solutions to enhance efficiency and accuracy. In this dynamic landscape, the Pibble AI platform AION has emerged as a groundbreaking force, recently completing a significant Proof-of-Concept (POC) with global trading giant POSCO International. This achievement signals a major leap forward in how artificial intelligence and blockchain technology can revolutionize B2B operations. What is the Pibble AI Platform AION and Its Recent Breakthrough? AION is an advanced AI trade solution developed by Caramel Bay, the innovative operator behind the Pibble (PIB) blockchain project. Its core mission is to streamline complex trade processes, which traditionally involve extensive manual labor and time-consuming documentation. The recent POC with POSCO International was a pivotal moment for the Pibble AI platform. It served as a real-world test, demonstrating AION’s capabilities in a demanding corporate environment. This collaboration showcased how cutting-edge technology can address practical business challenges, particularly in international trade. The results were truly impressive. The platform proved its ability to drastically cut down the time required for specific tasks. What once took hours of meticulous work can now be completed in mere minutes. Moreover, AION achieved an astonishing document accuracy rate of over 95%, setting a new benchmark for efficiency and reliability in trade operations. This high level of precision is crucial for reducing errors and associated costs in large-scale international transactions. Revolutionizing Trade: How the Pibble AI Platform Delivers Speed and Accuracy Imagine reducing hours of work to just minutes while simultaneously boosting accuracy. This isn’t a futuristic fantasy; it’s the tangible reality delivered by the Pibble AI platform AION. The successful POC with POSCO International vividly illustrates the transformative power of this technology. Key benefits highlighted during the POC include: Unprecedented Speed: Tasks that typically consumed significant human resources and time were executed with remarkable swiftness. This acceleration translates directly into faster transaction cycles and improved operational flow for businesses. Superior Accuracy: Achieving over 95% document accuracy is a monumental feat in an industry where even minor errors can lead to substantial financial losses and logistical nightmares. AION’s precision minimizes risks and enhances trust in digital documentation. Operational Efficiency: By automating and optimizing critical trade processes, the Pibble AI platform frees up human capital. Employees can then focus on more strategic tasks that require human intuition and decision-making, rather than repetitive data entry or verification. This efficiency isn’t just about saving time; it’s about creating a more robust, less error-prone system that can handle the complexities of global trade with ease. The implications for businesses involved in import/export, logistics, and supply chain management are profound. Beyond the POC: Pibble’s Vision for AI and Blockchain Integration The successful POC with POSCO International is just one step in Pibble’s ambitious journey. The company is dedicated to building validated platforms that leverage both blockchain and AI technologies, catering to a broad spectrum of needs. Pibble’s strategic focus encompasses: B2C Social Platforms: Developing consumer-facing applications that integrate blockchain for enhanced data security, content ownership, and user engagement. B2B Business Solutions: Expanding on successes like AION to offer robust, scalable solutions for various industries, addressing critical business challenges with AI-driven insights and blockchain transparency. The synergy between AI and blockchain is powerful. AI provides the intelligence for automation and optimization, while blockchain offers immutable records, transparency, and enhanced security. Together, they create a formidable foundation for future digital ecosystems. As the digital transformation accelerates, platforms like the Pibble AI platform are poised to play a crucial role in shaping how businesses operate and interact globally. Their commitment to innovation and practical application demonstrates a clear path forward for enterprise-grade blockchain and AI solutions. In conclusion, the successful POC of Pibble’s AION with POSCO International marks a significant milestone in the adoption of AI and blockchain in enterprise solutions. By dramatically reducing task times and achieving exceptional accuracy, the Pibble AI platform has demonstrated its potential to redefine efficiency in global trade. This achievement not only validates Caramel Bay’s vision but also paves the way for a future where intelligent, secure, and highly efficient digital platforms drive business success. It’s an exciting glimpse into the future of B2B innovation. Frequently Asked Questions (FAQs) Q1: What is the Pibble AI platform AION? AION is an advanced AI trade solution developed by Caramel Bay, the company behind the Pibble blockchain project. It’s designed to automate and optimize complex trade processes, reducing manual effort and improving accuracy. Q2: What was the significance of the POC with POSCO International? The Proof-of-Concept (POC) with POSCO International demonstrated AION’s real-world effectiveness. It showed that the Pibble AI platform could reduce tasks from hours to minutes and achieve over 95% document accuracy in a demanding corporate environment, validating its capabilities. Q3: How does AION achieve such high accuracy and speed? AION leverages sophisticated artificial intelligence algorithms to process and verify trade documentation. This AI-driven approach allows for rapid analysis and identification of discrepancies, leading to significant time savings and a dramatic reduction in human error. Q4: What is Pibble’s broader vision beyond B2B solutions? Pibble is committed to integrating blockchain and AI across various platforms. While AION focuses on B2B solutions, Pibble also develops B2C social platforms, aiming to enhance user experience, data security, and content ownership through these advanced technologies. Q5: Why is the combination of AI and blockchain important for trade? AI provides the intelligence for automation and optimization, making processes faster and more accurate. Blockchain, on the other hand, offers immutable records, transparency, and enhanced security, ensuring that trade data is reliable and tamper-proof. Together, they create a powerful, trustworthy, and efficient trade ecosystem. If you found this insight into Pibble’s groundbreaking achievements inspiring, consider sharing this article with your network! Help us spread the word about how AI and blockchain are transforming global trade. Your shares on social media platforms like X (Twitter), LinkedIn, and Facebook can help more people discover the future of business solutions. To learn more about the latest crypto market trends, explore our article on key developments shaping AI in crypto institutional adoption. This post Pibble AI platform: Revolutionary AION Completes POSCO International POC with Stunning Success first appeared on BitcoinWorld.
Share
Coinstats2025/09/18 19:45